Teoría de Colas y Kanban

Kanban se centra en la visualización de procesos y en limitar el número de elementos en los que se trabaja al mismo tiempo, pero su base es la alineación con los principios matemáticos de acumulación, flujo y estancamiento del trabajo, con la teoría de colas como elemento central.
Realizar tareas sin tener en cuenta los patrones de llegada, los tipos de tareas o la capacidad de la fase de trabajo elimina las propiedades orientativas del tablero Kanban. Utilizar el tablero para tomar decisiones basadas en datos estadísticos sobre qué tareas realizar y cuándo hacerlo refleja el comportamiento real del sistema, lo que le permite controlarlo y mejorarlo.
¿Qué es la teoría de las colas?
La teoría de colas es un análisis de las filas de espera, cuyo objetivo es predecir los tiempos de espera, es decir, la longitud de la cola. Se desarrolló a principios del siglo XX para las telecomunicaciones y, posteriormente, se adoptó en ingeniería industrial y de tráfico, informática, desarrollo de software, gestión de proyectos y atención al cliente.
La teoría de colas ofrece información valiosa para cualquier estructura que gestione tareas concurrentes y competitivas, por ejemplo, un sistema de tickets de atención al cliente.
Los tipos más comunes de colas que atienden órdenes son los valores de prioridad, FIFO (primero en entrar, primero en salir - first in, first out en inglés), LIFO (último en entrar, primero en salir - last in, first out en inglés), procesador compartido (atender todas las solicitudes a la vez), junto con SJF y LJF (trabajo más corto o más largo primero). Los flujos de trabajo basados en Kanban suelen basarse en prioridades o FIFO:

Teoría de colas, ley de Little y Kanban
La teoría de colas analiza cómo se mueven las unidades a través de un sistema, centrándose en el tiempo que cada unidad pasa esperando una oportunidad de servicio/procesamiento disponible. En Kanban, las unidades son tarjetas de tareas y las oportunidades de servicio son los espacios de capacidad disponibles en cada columna del flujo de trabajo.
La dinámica de la teoría de colas es fácil de reconocer en el tablero: una columna que se va acumulando muestra que las tasas de servicio no siguen el ritmo de las tasas de llegada de tareas, mientras que una columna constantemente vacía indica capacidad sin utilizar o déficit ascendente. Estos patrones se presentan inevitablemente porque las matemáticas que hay detrás de las colas no cambian independientemente del sector, el equipo o el tamaño del flujo de trabajo.
En un sistema Kanban, procesar el trabajo en curso cerca de la capacidad máxima aumenta drásticamente los tiempos de espera, ya que ni siquiera las pequeñas fluctuaciones en la entrada pueden absorberse, un fenómeno que se explica mediante la teoría de colas. La variabilidad en las tasas de llegada, el tiempo/dificultad del servicio, las habilidades o las dependencias da forma a las colas y los tiempos de ciclo, y ignorarla puede llevar a los equipos a optimizar las áreas de acción equivocadas.
Los límites de trabajo en curso, un sello distintivo de Kanban, tienen su origen en la teoría de colas y la ley de Little, que calcula el número medio de tareas en un sistema (L) multiplicando la tasa media de llegada - λ (lambda) por el tiempo medio que un elemento permanece en el sistema (W).

Límites WIP y flujo dinámico en Kanban
Los límites de trabajo en curso son un mecanismo muy eficaz para controlar el flujo, y comprender los límites estáticos y dinámicos mediante la teoría de colas puede convertir un tablero Kanban de una lista de tareas reactiva en un sistema predictivo, pero flexible.
1. Límites estáticos de trabajo en curso (WIP)
Las columnas de un tablero Kanban representan pasos de servicio consecutivos. Las tareas llegan a una velocidad simbolizada por λ - la tasa de llegada, y se procesan a una tasa de servicio marcada por μ (mu). Cuando la tasa de llegada supera la velocidad de servicio, se forma una cola. Las colas incontroladas provocan retrasos impredecibles, especialmente cuando las tasas de llegada se disparan; mientras tanto, un límite de trabajo en curso (WIP) correctamente elegido vincula el sistema, evitando la acumulación de trabajo y manteniendo los tiempos de ciclo establecidos.
Según la ley de Little, el límite WIP se puede calcular de la siguiente manera:

Ejemplo
Si una etapa de trabajo completa dos tareas al día (rendimiento) y los artículos permanecen en ella durante un total de cuatro días (tiempo de ciclo), entonces, para evitar la sobrecarga y mantener un flujo sin obstáculos, el límite de la etapa debe ser de ocho artículos.

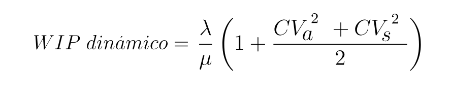
2. Límites dinámicos de trabajo en curso (WIP)
Los límites estáticos basados en el volumen no se adaptan a las fluctuaciones en los patrones de llegada, la variabilidad del servicio o los cambios en la complejidad de las tareas. Para alinear el trabajo permitido con la capacidad del sistema en tiempo real, un equipo puede aplicar límites dinámicos de trabajo en curso (WIP), derivados de la teoría de colas.
El tiempo medio de espera y la longitud de la cola de un paso del proceso dependen de:
- λ: Tasa de llegada
- μ: Tasa de servicio
- CVa: Coeficiente de variación de las llegadas
- CVs: Coeficiente de variación de los tiempos de servicio
Cálculo del coeficiente de variación
Para calcular los coeficientes de variación, divida la desviación estándar por la media.
Por ejemplo, dados los tiempos de servicio [2, 3, 1, 2 h], con una media de 2 h y una desviación estándar de 0.82, los CVs resultantes son 0.41.

El cálculo recomendado del límite adaptativo de WIP (una simplificación derivada de la fórmula de Kingman-derived simplification) es:

La fórmula implica que, a medida que aumenta la variabilidad, el límite de WIP debe incrementarse para proporcionar capacidad de reserva adicional. Por el contrario, cuando la variabilidad es baja, el límite puede reducirse para maximizar el rendimiento y minimizar los tiempos de espera.
Ejemplo: La columna Redacción publicitaria de un equipo de marketing se caracteriza por:
- λ = 4 nuevos elementos que llegan cada día
- μ = 1 elemento procesado al día
- CVs = 0.8
- CVa = 0.3

El uso de un límite dinámico de trabajo en curso de 5 o 6 elementos, en lugar de un límite estático de 4, debería permitir al sistema absorber la variabilidad sin causar largos retrasos.

Ventajas estratégicas de los límites dinámicos del trabajo en curso:
- Estabilidad del flujo: el tamaño de las colas se ajusta a la capacidad actual del sistema, lo que evita retrasos inesperados.
- Previsibilidad del tiempo de ciclo: las relaciones de la ley de Little se mantienen de forma más consistente.
- Concienciación sobre la capacidad: los límites cambiantes actúan como una alerta temprana de cuellos de botella o infrautilización.
- Toma de decisiones basada en datos: los límites dinámicos significan que la carga de trabajo del equipo se ajusta en función de parámetros medibles, no de juicios arbitrarios.
- Escalabilidad: la limitación dinámica del trabajo en curso se aplica al flujo de un solo equipo, a grupos interfuncionales y a sistemas Kanban a nivel de cartera.

El cuello de botella de la propagación
Un tablero Kanban visualiza de forma natural las colas: cada columna corresponde a un paso del servicio, cada paso tiene una tasa de servicio que interactúa tanto con la columna anterior como con la siguiente. Los cuellos de botella se forman en las etapas en las que los tiempos de trabajo son más lentos o altamente impredecibles. Sin embargo, un cuello de botella puede desplazarse o extenderse fácilmente: un equipo puede acelerar una etapa lenta sin darse cuenta de que reduce la absorción de la variabilidad en las etapas posteriores, lo que provoca que sus tasas de servicio oscilen.
La teoría de las colas ayuda a los equipos a darse cuenta de que el objetivo no es maximizar la velocidad de cada etapa, sino equilibrar el flujo, evitando que todas las etapas se sobrecarguen. Una columna de utilización moderada pero con una variabilidad mínima puede estabilizar las etapas circundantes.
Tareas bloqueadas en colas
Las tareas que no se pueden avanzar alteran de forma única una cola, lo que reduce temporalmente la capacidad efectiva de servicio de una columna. Cuando varios elementos congelados consumen espacio en la columna sin contribuir al rendimiento, las colas en las etapas anteriores crecen. La teoría de colas trata los elementos bloqueados como interrupciones de la disponibilidad del servicio, al igual que el tiempo de inactividad de las máquinas en un sistema de fabricación.
Por lo tanto, la necesidad de analizar los patrones de bloqueo es una cuestión de mantener la fiabilidad del sistema. Los bloqueos recurrentes son un indicio de obstáculos sistémicos que agotan la capacidad, independientemente del nivel de dotación de personal.

Clases de servicio
La introducción de clases de servicio o tipos de elementos de trabajo - por ejemplo, estándar, basados en fechas, ambiguos y urgentes - reconoce la variabilidad de los patrones de llegada y los requisitos. Una tarea urgente que entra en el sistema se antepone al trabajo estándar, distorsionando las hipótesis sobre el tiempo de ciclo. Desde el punto de vista de las colas, las tareas urgentes representan “clientes” (solicitudes) de alta prioridad que esperan en una cola de alta prioridad. Dar prioridad a determinadas tareas acorta su tiempo de espera, pero lo hace a expensas de otras tareas, lo que suele provocar una cascada de retrasos en todo el sistema.
Es fundamental dejar claros estos efectos al equipo, ya que, de lo contrario, podrían pensar que dar prioridad a una tarea es una excepción inofensiva. La teoría de las colas revela el coste estructural de hacer excepciones, lo que anima a los equipos a regular su aplicación.
Teoría de colas y previsión
Las tasas de llegada de tareas, las tasas de finalización, los tiempos de ciclo y los tamaños de las colas son los datos brutos necesarios para modelar el comportamiento del sistema. Aunque muchos equipos consideran útiles los promedios simples, se puede obtener una visión más profunda a partir de la forma de las distribuciones. Por ejemplo, un flujo con una distribución amplia del tiempo de ciclo (20 días como valor máximo) se comporta de forma diferente a un flujo con una distribución estrecha (8 días como valor máximo), a pesar de que sus promedios sean similares.
Los flujos de trabajo basados en la teoría de colas ayudan a analizar y simular estas diferencias, mostrando cómo responde un sistema a la presión, a los distintos patrones de llegada, a los cambios en las restricciones del trabajo en curso o a la introducción de nuevas clases de servicio.
Para simular los efectos no se necesita ningún software complejo, ya que los datos de rendimiento y, en particular, un diagrama de flujo acumulativo pueden indicar si el sistema es estable o no.

¿Sabías qué?
Para simplificar la aplicación de las prácticas de la teoría de colas a tu flujo de trabajo, Kanban Tool® ofrece límites WIP automáticos integrados, diagramas de flujo acumulativo y señales visuales claras para los cuellos de botella, los bloqueos y las clases de tareas. Prueba los tableros hoy mismo para ayudar a tu equipo a mantener la estabilidad del flujo con mucha menos supervisión manual.
Hacer cola a gran escala
La teoría de colas también puede afectar a los Kanbans organizativos a nivel de cartera. Si múltiples flujos de trabajo alimentan etapas de proceso compartidas, estas se convierten en colas de varias clases que compiten por los recursos. Por lo tanto, cuando las tasas de llegada de la cartera aumentan sin una ampliación equivalente de la capacidad del servicio, los retrasos se propagan hacia atrás, a través de toda la red de tableros Kanban.
En este caso, la teoría de las colas demuestra a los líderes que crear más iniciativas no aumentará la producción, sino que simplemente aumentará la congestión. Sobre esa base, el Kanban a nivel de cartera puede regular el inicio de nuevas iniciativas, sincronizando la preparación aguas arriba con la capacidad aguas abajo.

Cuando un equipo comprende cómo funcionan las colas, puede diagnosticar problemas, medir el rendimiento, interpretar patrones y mejorar su sistema Kanban en tiempo real. Esto transforma el proceso de reaccionar ante los síntomas en diseñar deliberadamente condiciones que produzcan un flujo estable.
Lectura adicional
- Queueing Systems, Volume I (LIBRO)
- Lean Software Development: An Agile Toolkit: An Agile Toolkit (LIBRO)
- The Art of Lean Software Development: A Practical and Incremental Approach (LIBRO)
- Kanban: How to Visualize Work and Maximize Efficiency and Output with Kanban, Lean Thinking, Scrum, and Agile (Lean Guides with Scrum, Sprint, Kanban, DSDM, XP & Crystal Book 8)